Introduction à la méthode générale MG1 de l’Eurocode 2 pour le calcul des poteaux en béton. Fondements, limites d’usage et points de vigilance essentiels.
La méthode générale de calcul des poteaux selon l’eurocode 2 constitue un outil important du quotidien pour l’ingénieur structure, qui permet de réduire significativement la complexité théorique de l’étude d’un poteau ou d’un voile élancé en béton armé, en approchant les effets du second ordre.
Cependant, cette méthode présente des limites d’utilisation et des points de vigilance parfois délicats à maîtriser, d’autant que les implémentations sous forme de tableur, courantes dans les bureaux d’études, invisibilisent parfois certaines notions importantes.
Ce dossier en 4 parties propose une revue des étapes de calcul de la méthode générale avec un focus sur différents points impactants du calcul. La présente partie 1 constitue un rappel des fondements de la méthode générale.
La prévision des charges de flambement des poteaux par la méthode de M.P.Faessel
En septembre 1968, l'annale de l'ITBTP n°249 diffusait en France la méthode de M.P. Faessel. Cette méthode visait à estimer la déformée ultime d’un poteau en béton armé élancé afin d’en déduire les effets de second ordre et la charge critique correspondante.
La méthode générale, incluse dans l’eurocode 2, aborde aujourd’hui le sujet du flambement des poteaux selon le même principe que celui de M. Faessel hier. Elle permet de réaliser une analyse non linéaire simplifiée, intégrant la non linéarité géométrique et la non linéarité des matériaux, afin d’approcher plus précisément les effets du second ordre qu’avec les deux autres méthodes de l’eurocode 2 (rigidité nominale et courbure nominale).
Plus exactement, la méthode générale propose d’évaluer la compatibilité des déformations au droit de « plusieurs » sections droites, et admet une option simplifiée visant à faire cette évaluation au droit d’une section unique : la section critique, moyennant l’adoption d’une hypothèse vraisemblable de l’allure de la déformation générale de l’élément.

Extrait de l’EC2 §5.8.6(6)
Dans la pratique courante, lorsque l’on mentionne l’application de la « méthode générale » dans un calcul de poteau ou de voile élancé, on désigne le plus souvent l’option simplifiée de la méthode générale, réduite à l’étude d’ 1 section critique unique.
Dans la suite de cet exposé, nous désignons cette option simplifiée par la notation MG1 et nous consacrons notre étude à l’évaluation des points de vigilance inhérents à l’utilisation de la MG1.
Se ramener au cas d’un mât
La MG1 peut être présentée comme une approche visant à ramener la structure réelle étudiée (le poteau) à l’équivalent :
- d’un mât (un poteau libre en tête et encastré en pied).
- de section constante le long de son axe,
- soumis à un unique chargement axial en tête, (donc résultant en un effort normal constant le long de l’axe)
- et présentant un défaut d’inclinaison ou un chargement latéral générant une sollicitation de flexion « raisonnable » au 1er
Pour trouver l’équivalence entre le cas réel et le modèle de mât, on évalue une longueur dite « de flambement » du poteau pris dans son environnement réel, et on en déduit la longueur du mât équivalent.
Une fois le modèle de mât en console obtenu, on étudie exclusivement l’équilibre de la section d’encastrement du mât et si l’on parvient à démontrer la stabilité du mât, alors on on en conclut la stabilité du poteau réel.
Le cas du mât
Nous développons ici le principe de calcul du mât théorique.

Sous l’effet d’un défaut de verticalité ou d’un effort horizontal T en tête comme ici, le mât subit une sollicitation de 1er ordre M1(z) qui le conduit à se courber.
L’effet de 2nd ordre
Le mât étant suffisamment élancé par hypothèse, la notion de 2e ordre intervient, c’est-à-dire que la déformée du mât est telle qu’elle augmente de manière non négligeable la sollicitation Mtot(z), par un terme N.(fh - f(z)).
La déformée f(z) et la sollicitation Mtot(z) augmentent alors conjointement, de façon instable, jusqu’à l’atteinte d’un équilibre du système, lorsque celui-ci existe, ou bien jusqu’à la rupture de la section du mât au droit de l’encastrement, là où le moment est le plus important.
Habituellement, l’eurocode 2 procède de façon séquentielle : on calcule les sollicitations N,T,M dans les sections le long d’un élément (de manière exacte ou en faisant des approximations admissibles) puis on passe au calcul des sections de béton armé.
Malheureusement, ce processus n’est pas applicable ici puisque les sollicitations dépendent largement des déformées et donc des sections, de façon bouclée. La solution du système f(z) semble de prime abord impossible à déterminer.
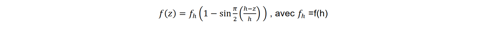
Une hypothèse de déformée élastique
Lorsque le moment de 1er ordre le long de l’élement M1(z) est négligeable vis-à-vis de l’effet de second ordre M2(z) en jeu, que l’effort normal N(z) est constant le long de l’axe, que les caractéristiques mécaniques des sections sont également constantes, bi-symétriques, et restant élastiques (linéaires et non fissurées), on peut démontrer mathématiquement que la solution exacte de la déformée est un quart de sinusoïde que l’on peut écrire sous la forme :

La MG1 consiste à admettre cette hypothèse de déformée sinusoïdale, dans des situations où l’on s’écarte « raisonnablement » de toutes ces conditions.
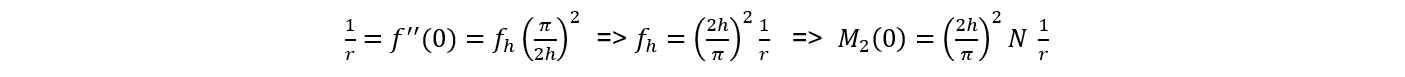
Adopter cette hypothèse dans notre calcul béton armé nous permet de prédire une déformée tout en haut du mât, en fonction de la courbure au droit de son encastrement.
On sait donc évaluer le moment de 2e ordre au droit de la section d’encastrement, en fonction de la courbure au droit de cette même section d’encastrement.
Cette approche nous libère totalement de l’impact des sollicitations et de déformations le long du mât, pour ne réduire le problème qu’à la seule étude de la section en z=0, dite « section critique ».
Numériquement , on obtient en 2 étapes l’expression du moment de 2e ordre au droit de l’encastrement en fonction de la courbure dans cette section :

L’équilibre interne
Pour un effort normal N donné, tant que la section de béton armé est dans son domaine élastique, la courbure 1/r prise par la section est, logiquement, directement proportionnelle au moment subi 1/r = 1/EI. M. Puis, plus la section fissure puis se plastifie, plus la section doit se courber pour équilibrer un moment de flexion donné.
La courbe M(1/r) de la résistance de la section BA démarre ainsi de façon linéaire puis se courbe jusqu’à la limite acceptable de ses matériaux constitutifs. Cette courbe, qui ne dépend que de la section BA, indépendamment de la longueur du mât ou de la notion de 2nd ordre, est nommée courbe d’équilibre interne de la section critique.
L’équilibre externe
Comme vu juste avant, l’hypothèse sinusoïdale permet de tracer une relation affine entre la courbure au droit de la section critique et le moment de second ordre induit. Cette relation dépend seulement de la hauteur du mât, de l’effort normal, et du moment de 1er ordre, soit des éléments extérieurs appliqués à la structure, et aucunement de la dimension de la section, son inertie, ou des modules de ses matériaux.
La courbe Mtot(0) = f (1/r (0) ) est ainsi appelée courbe d’équilibre externe de la section critique.
Le point d’équilibre stable

Le tracé, sur le même graphe, de la courbe d’équilibre interne et d’équilibre externe permet de déterminer si un équilibre existe et de résoudre le problème mécanique le cas échéant. Lors de la mise en charge, la courbure 1/r est nulle,le moment imposé Mext est supérieur au moment résistant Mint, le mât commence donc à se courber (1/r augmente) jusqu’à l’atteinte d’une courbure telle que le moment interne résistant Mint égale exactement le moment externe sollicitant Mext. L’équilibre est alors atteint.
La charge normale critique N
Lorsque N augmente, la courbe d’équilibre interne Mint « se tasse » puisque la plastification des matériaux augmente, et la courbe d’équilibre externe Mext remonte et prend une pente importante. On peut rechercher le N limite pour lequel les 2 courbes sont tangentes, cela correspond alors à la charge critique du mât Ncrit.
Dans la suite de ce dossier, nous revenons dans un cadre plus général d’application de la MG1, dans différentes configurations de poteaux réels, et nous rentrons dans le détail des différentes étapes sous-jacentes.
La partie suivante est consacrée à l'hypothèse d'allure sur la déformée : Méthode générale de l'EC2 et limites d utilisation – une hypothèse de déformée élastique (2/4)
EN